暂无数据
64场10球还被换下?葡超出身古加年底走人,北京国安的中超补强窗口来了
2025-11-11 07:15:21
2比0拿下就冲超?铜梁龙亚军上岸,中超联赛要被德比点燃了
2025-11-09 00:30:35
1265天等来的中超归来:铜梁龙4年三级跳,把重庆从沉浮录里拉回大田湾
2025-11-08 17:01:25
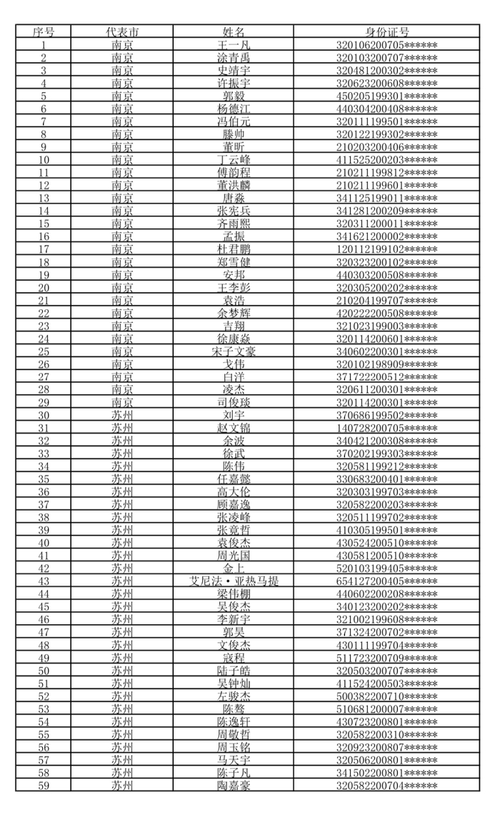
2025年11月7日公示:第二届对抗赛名单摆桌面,连英超都要笑了
2025-11-07 12:30:31
欧冠第4轮1-2,乌斯曼·登贝莱伤退,恩里克该背几分锅?
2025-11-07 05:01:11
2025年11月4日 里泽斯堡 vs 法蒂赫卡拉古鲁克
2025-11-04 10:21:34
2025年11月4日 伊尤斯堡 vs 安塔利亚体育
2025-11-04 10:20:57
2025年11月3日 贝拉迪亚士邦 vs 沙卡亚斯普
2025-11-03 10:56:58
2025年11月3日 贝西克塔斯 vs 费内巴切
2025-11-03 10:56:32
2025年11月2日 塞里克 vs 代米尔体育
2025-11-02 11:39:22